Former CMU coach Bonamego walks away with $834,000 buyout
Head Coach John Bonamego hangs his head after CMU's 5th loss of the season against The University of Buffalo on Oct. 6 at Kelly/Shorts Stadium.
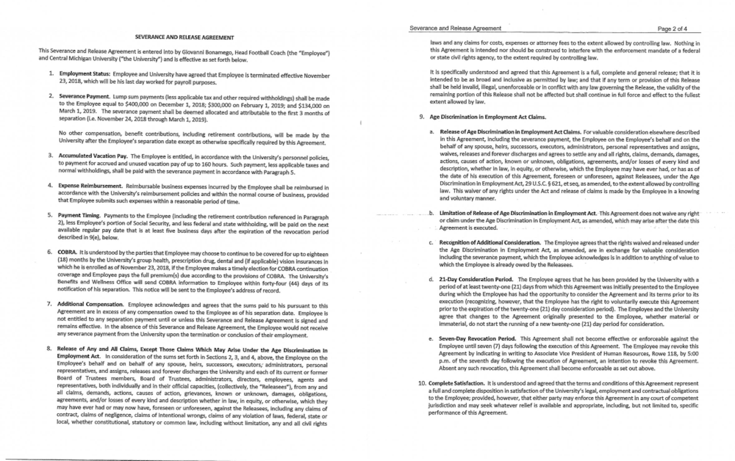
Following negotiations between CMU and John Bonamego's representatives, the two parties settled on an $834,000 buyout.
Bonamego, who was fired after the Chippewas went 1-11 in 2018, gets to walk away with a $834,000 buyout.
He already received $400,000 on Dec. 1, 2018. He will also be given $300,000 on Feb. 1, 2019, and $134,000 on March 1, 2019. He was fired on Nov. 23.
He was forced to return his office keys, laptop, gas card, cell phone, mileage reports and other items on the Employee Separation Checklist to CMU by 5 p.m. on Nov. 25. Bonamego was allowed to use his lease car until 5 p.m. on Nov. 30.
Bonamego's participation in CMU benefits, like health care programs, ended at midnight on Nov. 23 – the same day he was fired. His firing was announced by CMU Athletic Director Michael Alford at 9:17 p.m.
The former CMU coach earned $430,000 base salary in 2018. With bonuses, his 2018 compensation was $656,000 – making him the highest paid CMU employee when he was still on staff.
Alford signed new CMU football coach Jim McElwain to a five-year, $400,000 base contract. Along with his $400,000 annual compensation, McElwain is set to earn an automatic $50,000 retention bonus annually if he's employed after Feb. 15 of his given contract year.
McElwain, 56, also earns additional compensation of $190,000 in 2019-20, $215,000 in 2020-21, $240,000 in 2021-22, $265,000 in 2022-23 and $290,000 in 2023-24. Those dollar amounts will be added to McElwain's annual $400,000 base and retention bonus regardless of his performance.
McElwain will make $1.6 million for his services in 2019 from the Florida buyout and CMU's compensation. The Gators are still paying him for the $7.5 million buyout in 2017. McElwain earned $300,000 on a one-year contract as the Michigan wide receivers coach last season.
