CMU to receive $1 million from Wisconsin, $1.4 million from Miami for football games
When Central Michigan hosts Albany at Kelly/Shorts Stadium on Aug. 29, it will dish out $400,000 to the Great Danes.
However, the Chippewas will quickly make up the money and break well-above even.
CMU will receive $1 million for playing at Wisconsin on Sept. 7 and $1.4 million when it travels to Miami (FL) on Sept. 21.
That's a combined $2.4 million for two games in the nonconference.
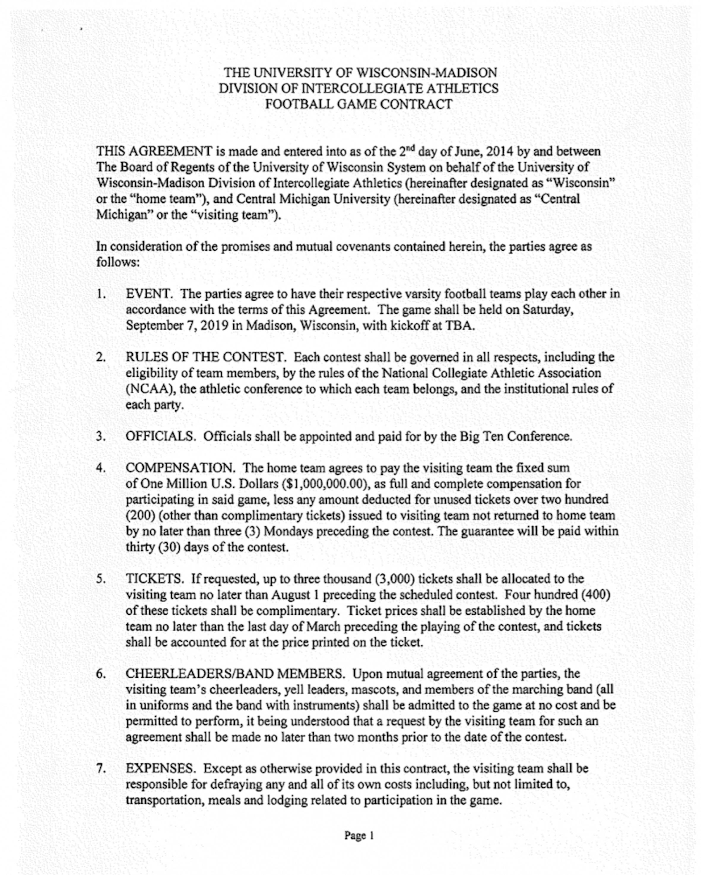
The documents that included the financial agreement for each game were acquired by Central Michigan Life through a Freedom of Information Act request.
Contract details
Wisconsin will pay CMU the guarantee within 30 days of the contest, according to the game contract. If requested, the Badgers are also set to give 3,000 tickets to CMU to sell by no later than Aug. 1. Of those, 400 tickets are complimentary.
The contract between Wisconsin and CMU was signed back on June 4, 2014, by former CMU Athletic Director Dave Heeke.
But it was current CMU Athletic Director Michael Alford, not Heeke, who got the deal done with Miami on July 13, 2017.
"Once we agree that we want to do this, it moves pretty fast," Alford said of scheduling nonconference games in September. "It's more or less lining up the dates. The good thing is that I have relationships around the country."
For playing the Hurricanes, the Chippewas will earn a guaranteed $1.4 million. Miami is delivering the money in two separate payments – $600,000 no later than June 15, 2019, and $800,000 no later than Feb. 15, 2020.
If the game, for some reason, is not played, CMU must return the advance payment within 30 days to the Hurricanes.
Miami has allotted 400 complimentary tickets to CMU and 4,000 tickets for the Chippewas to sell to their fans.
Bringing in Albany, a Football Championship Subdivision team, CMU has 90 days after the date of the game to pay the visiting team $400,000.
CMU is also giving 400 complimentary tickets to Albany. Upon request, more tickets can be acquired for the visiting team to sell.
Heeke signed the deal with Albany on Nov. 13, 2015.
In all three situations, the visiting team is responsible for its own expenses.

Wisconsin
The Badgers are fresh of an 8-5 record under Paul Chryst in his fifth season at the helm. Expected to take the field as the starting quarterback at Camp Randall Stadium in Madison during the 2019 season is junior Jack Coan.
Wisconsin was hit with the unfortunate transfer of longtime starter Alex Hornibrook, who departed on March 10 for Florida State.
Hornibrook threw for 5,438 yards, 47 touchdowns and 33 interceptions in three seasons for the Badgers.
In 2018, Wisconsin was 5-4 in the Big Ten Conference and earned a 35-3 victory over Miami (FL) in the Pinstripe Bowl. Coan started the game and completed 6-of-11 passes for 73 yards, one touchdown and one interception.
Running back Jonathan Taylor pumped out 205 yards and one score on 27 carries. He's expected to lead the offense in 2019 as a junior. Senior A.J. Taylor and junior Danny Davis are slated to pace the wide receiver group.
CMU and Wisconsin have never played.

Miami
The Hurricanes were a mere 7-6 overall and 4-4 in ACC play under now-former coach Mark Richt in the 2018 season. Miami dropped games to LSU, Virginia, Boston College, Duke, Georgia Tech and Wisconsin.
On Dec. 30, 2018, three days after losing to Wisconsin in the Pinstripe Bowl, Richt announced his retirement. The same day, Miami named Manny Diaz as its new head coach.
With Diaz at the forefront, there remains a serious question of who will start at quarterback.
It seemed Tate Martell would solve the problem after his transfer from Ohio State, but he struggled with his accuracy on April 13 in the annual Spring Game and was "the clear loser" of the event.
However, redshirt freshman Jarren Williams and redshirt sophomore K'Kosi Perry reportedly shined at quarterback.
Martell was the nation's No. 56 overall prospect in the 2017 class as a graduate of Bishop Gorman High School in Las Vegas, Nevada.
Right now, the Miami quarterback battle is hidden by a haze of uncertainties with each signal caller.
But expect to see either Williams, Perry or Martell at quarterback when the Chippewas roll into Hard Rock Stadium on Sept. 21.
CMU and Miami have never played.
Albany
The Great Danes weren't 3-8 overall and 1-7 in the Colonial Athletic Association a season ago. Albany's only victories were against Morgan State, Saint Francis and Stony Brook.
Four weeks after CMU secured a 17-5 win over Maine in Mount Pleasant for its only win of the 2018 season, Albany lost to the Black Bears, 28-9.
The Chippewas and Great Danes have never played.








